DESIGNING STEP - INDEX MULTI -MODE FIBER
In this design project, I designed a step-index multi-mode fiber that support bit rates up to R Mb/s and the link length is L km.
Assumption:
To reduce the design complexity, I made these assumptions,
The communication system uses carrier signals to carry a message or data signals. Also, the greater the carrier frequency, the larger the available transmission bandwidth and thus the information-carrying capacity of the communication system. So, the reason radio communication system uses higher frequencies such as VHF, UHF, and microwave. In optical fiber communication use of near-infrared waves offers an increase in the potentially usable bandwidth by a factor of around 104 over microwave transmission. This figure shows the general structure of the optical fiber communication system.

The transmission medium in an optical fiber communication system uses optical fiber cable. The use of optical fiber communication has several advantages such as
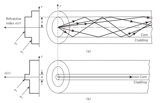
In early, transmission of light via dielectric wave guide has made from transparent dielectric rod (Typically silica glass with reflective index 1.5), surrounded by air. But since this structure was impractical, after use, transparent core with reflective index n1, surrounded by a transparent cladding of slightly lower reflective index n2.

But, at initial stages, the losses of fiber cables was around 1000 dB/m and in now days it reduces to 0.2 dB/m by applying proper glass refining techniques and use of longer wave lengths (1.55ππ). Still doing some experiments for ultra-low-loss transmission (0.01 dB/m) with fluoride glasses.
The reflective index is a medium is calculated as the ratio of the velocity of light in vacuum to the velocity of light in medium. The angles of incidence 1 and refraction 2 are related to each other and to the refractive indices of the dielectrics by Snellβs law of refraction. Snellβs law : π1π ππβ 1=π2π ππβ 2

When β
2=900,β
1 π πππ ππ π‘βπ ππππ‘ππππ πππππ. If incident angle (β
1) grater than the critical angle, light is reflected back to into the dielectric medium with high efficiency. This known as total internal reflection. Also the relative index difference β is defined as ,
β =(π1 2βπ2 2)/2π2 2
β β(π1βπ2)/π1 πππ ββͺ1
Step index fibers are a type of fiber that use in communication networks, that have a constant reflective index n1 in the core and a cladding of a slightly lower reflective index n2. There are two types of step index fibers, known as single-mode and multi mode step index fibers.

Multi-mode step index fiber with a core diameter of around 50 um or greater is large enough to allow propagation of many modes within the fiber core. Single mode fiber allows the propagation of only one transverse electromagnetic mode usually HE. In single mode, core diameter must be from 2um to 10um. multimode step index fiber considerable dispersion may occur due to the differing group velocities of the propagating modes. This in turn restricts the maximum bandwidth attainable with multimode step index fibers, especially when compared with single-mode fibers. Multimode step index fiber allow the propagation of a finite number of guided modes along the channel. the total number of guided modes ππ for a step index multimode fiber can be calculate by,

Transmission characteristics are very important when designing optical fibers for communication. The most interest characteristics are attenuation(losses) and bandwidth. Attenuation largely due to the absorption of glasses, caused by impurities such as iron, copper, manganese and other metals. The bandwidth of fiber is determining the number of bits of data transmitted in a given time period. Bandwidth is limited by dispersion.
Attenuation
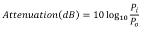
For a particular wavelength, signal attenuation is defined as,

In optical fiber communication, the attenuation is usually expressed as in decibels per unit length (dB/Km)

Wβπππ,πΌβπ πππππ ππ‘π‘πππ’ππ‘πππ πππ π’πππ‘ πππππ‘βπππ πππππππ ππ πππππ π³πππ π·ππππππππ
Dispersion
Signal dispersion alone limits the maximum possible bandwidth attainable with a particular optical fiber to the point where individual symbols can no longer be distinguished.

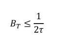
For no overlapping of light pulses down on an optical fiber link the digital bit rate BT must be less than the reciprocal of the broadened (through dispersion) pulse duration (2 π). So if consider non-overlapping,

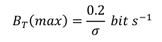
Another more accurate estimate of the maximum bit rate for an optical channel with dispersion may be obtained by considering the light pulses at the output to have a Gaussian shape with an rms width of π

If use a return to zero coding scheme, π΅π=π΅ππππ€πππ‘β
Using the ray theory model, the fastest and slowest modes propagating in the step index fiber may be represented by the axial ray and the extreme meridional ray.

Hence the time taken for the axial ray to travel along a fiber of length L gives the minimum delay time,

The extreme meridional ray exhibits the maximum delay time,

Therefore, the delay difference can be express as,

When core reflective index approximately equal to the cladding reflective index, ββͺ1


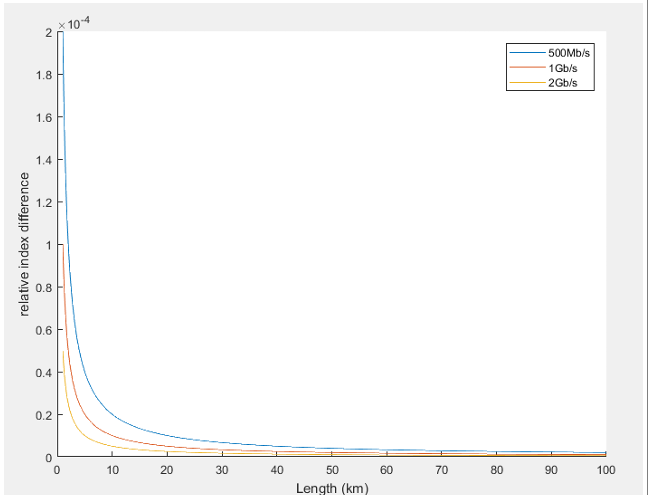
L = 1:0.1:100; % Length in km
hold on;
R = 500; %data rate in Mb/s
RID = 0.1499./(1.5.*L.*R);% Calculate relative index difference
plot(L,RID);
R = 1000; %data rate in Mb/s
RID = 0.1499./(1.5.*L.*R);% Calculate relative index difference
plot(L,RID);
R = 2000; %data rate in Mb/s
RID = 0.1499./(1.5.*L.*R);% Calculate relative index difference
plot(L,RID);
legend('500Mb/s','1Gb/s','2Gb/s');
xlabel('Length (km)'); ylabel('relative index difference');